
由于电子文档以外部链接存放具有不稳定性与不可控性,为此,封面图片原始高清文件和推文中明确有PDF文档免费分享的电子文档下载请通过考研竞赛交流圈(点击打开)文件或美图分类获取。
【说明】文中公式在用手机阅读时如果显示不全,请用在公式上左右滑动显示完整公式。
在上一讲中我们给出了逆矩阵的定义,并讨论了它的性质和给出了线性方程组 类似于一元一次方程的解的形式 。对于逆矩阵的计算,主要基于逆矩阵的定义和性质讨论了一些抽象矩阵的逆矩阵的求解的求解思路与方法,但是,对于具体逆矩阵的计算并没有深入进行讨论。
本讲将在上一讲讨论的基础上,进一步讨论具体矩阵的逆矩阵计算方法,并结合实例探讨逆矩阵相关理论与方法在数学和现实中一些应用问题。
一、逆矩阵计算的伴随矩阵法
通过上一讲的讨论我们知道,如果 为 阶可逆方阵,则有
由此可知 . 该结论给出了一个判别方阵 是否可逆和求矩阵逆的具体方法, 称之为伴随矩阵法.
在具体的逆矩阵计算中,其步骤可以归结如下:
(1) 计算行列式 ;
(2) 若 ,则 不可逆;若 ,写出 的伴随矩阵 ,即矩阵 的每个 的代数余子式 构成的矩阵;
(3) 直接写出 。
例 1利用伴随矩阵法求下列矩阵的逆矩阵.
【解】:(1)容易计算得
故 可逆. 又
于是可得
(2)将行列式按第一行展开,得
故 可逆. 又

从而可得
于是可得
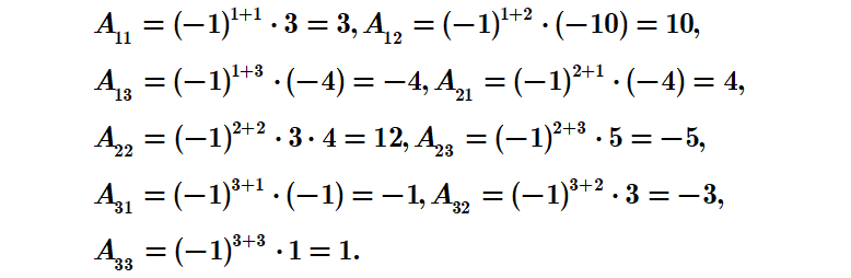
例 2设矩阵 满足 ,其中
求 。
【解】:由 得 . 由于
矩阵 的伴随矩阵为
从而可知
在 两端左乘 ,得

【注】在该方法中要特别注意伴随矩阵的写法,是 。从上述例子可以看出,用伴随矩阵法求逆矩阵计算过程规范,但是计算量较大,所以该方法一般仅仅适用于阶数比较低的情况
二、求逆矩阵的初等变换法
定理任何可逆矩阵可以只经过有限次初等行 (列) 变换化为单位矩阵.
【证明】:(数学归纳法) 设 是可逆矩阵. 如果 ,那么 ,结论成立. 假设 为 阶可逆矩阵时,结论成立. 若 为 阶可逆矩阵,由 ,可知 的第一列的元索不全为 0 ,经过行交换,不妨设 ,第一行元素乘以 ,再把各行减去第一行的适当倍数,使得第一列的其余元素化为 0 ,把所得到的方阵记为 .上面的过程可以表示为存在 个 阶初等矩阵 ,使得
由于 ,因此 是 阶可逆矩阵. 由归纳法可知 可以经过有限次初等行变换化为单位矩阵,即 经过有限次初等行变换为
把这个矩阵的第一行分别减去第 行的 倍,即得单位矩阵.
【注】(1) 可逆的充要条件是 的行阶梯形有 个非零行,故 的行最简形、标准形是 的单位矩阵 .
(2) 任一可逆矩阵必是有限个初等矩阵的乘积.
(3) 矩阵 与 矩阵 等价的充分必要条件是存在 阶可逆矩阵 和 阶可逆矩阵 ,使得 。
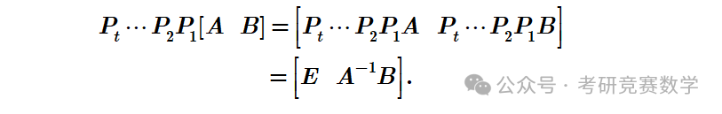
基于以上结论可以得到一种计算可逆矩阵送矩阵的方法:设 为 阶可逆矩阵,则存在若干个初等矩阵 ,使 。由逆矩阵的定义知
因此,如果用一系列行的初等变换将 化为单位矩阵 ,则用同样的行初等变换就将单位矩阵 化为 ,这就为我们提供了一个有效计算 的方法. 即若对 构成的矩阵施行行的初等变换将 变换为 的过程也就将单位矩阵 变换为了 :
具体求逆矩阵的初等变换法:实质就是通过构建一个 的矩阵 ,然后利用初等行变换将 化为最简行阶梯形,此时左侧的矩阵 变换为单位矩阵 ,右侧的单位矩阵 变换为 。
【注】:(1)用上述方法求逆时,初等行变换须贯彻始终,期间不能有任何一次初等列变换.
(2)用初等变换法求方阵的逆时,若出现某行元素全为零,则方阵不可逆.
(3)用初等变换法求可逆矩阵 的逆时,也可以对 实施初等列变换,当 变换为单位矩阵 一定变换为 .
例3求矩阵 的逆矩阵.
【解】:【法 1】初等行变换法:

所以
【法 2】初等列变换法:

所以
【注】:初等变换法的原理也可用于计算 ,即:若已知 为可逆矩阵,则有

三、线性方程组和矩阵方程的求解
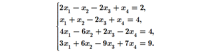
例 4求解线性方程组

【解】:记

则方程组等价于 。由

故方程组 有唯一解且 可逆. 在 两端左乘 ,得 ,则可以直接利用初等变化法求得 ,具体过程与直接求 方法一致,只不过右侧矩阵为 ,即

故方程组的唯一解为
例 5求 ,已知
【解】:记 ,则
即 可逆,则 两端左乘 ,得 ,则可以直接利用初等变化法求得 ,具体过程与直接求 方法一致,只不过右侧矩阵为 ,即

此即求得
【注】该方法仅仅适用于方程组系数矩阵为方阵且对应的行列式不为零的情形,具体计算也可以先单独求 ,然后利用矩阵乘法计算 .
例 6设矩阵 满足
其中矩阵
为 3 阶单位阵,求 .
【解】:由题设矩阵方程得
由于 ,故 可逆。由

所以
于是用 左乘、右乘上面的式子,得

四、逆矩阵的应用举例1、敏感度分析——扰动分析
某工厂生产三种产品,一个月可用于三种产品的三种原材料分别为 300 个单位, 420 个单位和 260 个单位. 该厂要为每月用完这些材料指定生产计划表,不同产品所需的原材料单位数量如下表:

试确定: (1) 每种产品应生产出多少个?
(2) 若原材料 3 的数量增加 8 个单位,所生产产品的数量会改变多少?
【解】:(1) 记每月生产三种产品的数量分别为 ,并记
则 ,解得 ,计算可得
(2) 原材料 3 的数量增加 8 个单位,使得 发生了改变,在方程组 中 不变,此时
计算得
也即产品 1 需要减少 2 个,产品 2 会增加 1 个,产品 3 会增加 3 个.
【注】在许多实际问题中,求出满足已知需求的量,只是制定生产计划完成生产全过程的一部分,有时候还需要分析根据原材料的变化研究分析可能导致可以生产产品种类数量的变化,同时也需要根据客户的需求来条件生产计划,比如调整生产的产品数量和购买原材料的数量等,这些数量的微小变化引起相关量的变化也就是敏感度分析——扰动分析问题.
2、Hill 密码问题
Hill 密码就是运用矩阵原理的一种典型密码,由 Lester S. Hill 在 1929 年发明. 算法中除利用逆矩阵的有关知识外还会涉及更多的实际背景要求. 这里只对其中逆矩阵知识的应用进行简要介绍.
利用矩阵进行数据加密的基本原理是: 设矩阵 为待加密信息(待加密信息一般称为明文), 为与 之间满足乘法要求的可逆矩阵,则发送方可以利用矩阵乘法 将所得乘积 作为加密信息 (一般称为密文). 当接收方获得密文 后,就可以再次利用矩阵乘法对 两边同时左乘 进行解密,得到明文 .
比如,假设每个字母都对应一个非负整数,空格和 26 个英文字母依次对应的整数如下表.
其次,假设将要发送的英文单词中从左到右每 3 个字母分为一组,并将对应的 3 个整数排成 3 维的行向量,加密后仍为 行矩阵,其分量仍为整数. 比如 "go to east",分为四组,不够的用 0 补齐,这样就可以分为四个行矩阵,分别为
则可以构成矩阵
第三步,构建一个 3 阶可逆矩阵 ,为了保证转后的数字仍为整数,一般可以取单位矩阵经过几次初等变换得到的矩阵. 比如取
第四步,由矩阵乘积 得到加密信息,比如对于上面的矩阵可得
这个矩阵代表的信息就是经过加密后的信息. 如果要将加密信息解密得到原来是信息,只要用 就可以得到明文对应的数值信息,然后根据上面的表逐一比照就解密得到真实的信息内容了.
练习题
1、分别用伴随矩阵法和初等变换法求以下矩阵的逆矩阵.
2、设 为 3 阶矩阵,交换 的第 2 行和第 3 行,再将第 2 列的 -1 倍加到第 1 列,得到矩阵
试求 。
3、解下列矩阵方程.
4、设 ,矩阵 满足 ,求 .
5、设矩阵 满足 ,其中
求矩阵 .
6、设矩阵 的伴随矩阵
求 .
7、求 阶矩阵 的逆矩阵 ,其中
微信公众号:考研竞赛数学(ID: xwmath)大学数学公共基础课程分享交流平台!支持咱号请点赞分享!
扫描二维码分享到微信或朋友圈