
今天,我们一起来探讨一下数列和一元函数常用的极限计算方法。极限,作为微积分研究的基本工具,一直是高等数学、微积分,数学分析相关内容考试的一个重点,基本上大类的考试,都会考到直接的极限计算问题。当然,很多问题的最终求解,或者关键步骤也最终归结为极限的计算。
对于全国大学生数学竞赛来说,不管是初赛,还是决赛,一般都会有极限相关的考题。比如历届非数学类竞赛初赛、决赛的试题中,可以直接归结为极限计算的考题数量与分值情况我们做了一下大致的统计。

其中初赛试题中,平均每届差不多是 3 道题,平均每届占有的分值为 24 分左右;决赛则一般为 2 道题左右,平均占有的分值也达到 22 分。对于一个 100 分的试卷来说,这个分值比例是相当大的!
同样在全国的硕士研究生招生考试中,在三门课程那么多知识点中,完全就用极限来求解的考题,占有的分值也不少。比如近五年的考试题中,不包括大题中部分用极限的思想来解决的考题,题数与分值占总的题数与分数的比例,一般可以达到 左右。

从这样两大类考试中可以看到,极限计算问题在考试中的重要性,当然极限也是理解和掌握高等数学、数学分析中基本概念、基本解题思想与方法的基础。因此,对它们的求解方法有必要熟练掌握。
今天的讲座内容包括常用的数列极限计算方法和部分函数极限计算方法。首先是数列的极限与函数的极限联系的桥梁:海涅定理,或者说归结原则:

根据海涅定理,函数极限可化为求数列的极限;通项能够描述为整标函数的数列极限,也可转化为函数的极限问题来讨论。海涅定理深刻地揭示了变量变化的整体与部分、连续与离散之间的关系,从而给数列极限与函数极限之间架起了一座可以互相沟通的桥梁。
在平时的解题中,将数列的极限转换为函数的极限来讨论,可以用于计算数列的极限,并判断极限的存在性;而函数的极限转换为数列的极限来讨论,主要是判定极限的不存在性。即函数的自变量,按照某一子变化过程极限不存在,或者两个不同的子变化过程极限值虽然存在,但是不相等,则函数的极限不存在。按照通常的数列极限的计算,能够转换为函数极限来讨论的数列极限问题,应该首先考虑函数极限的方法。
下面一起来回顾一下常用的数列与函数极限计算方法:
1、极限的定义
对于竞赛来说,尤其是数学类的数学分析内容,用极限定义来讨论数列极限相关的问题也是一个考查重点。当然,对于非数学类来讲,则是一个考查的难点,不过也是应该掌握的方法。所以这里稍微详细的探讨一下使用过程中要注意的问题。
除了具体的数列极限问题,直接表明要用定义证明外,一般很多抽象的数列极限证明题的证明,可能首选的方法就是数列极限的定义;当然也包括一些具体的,数列的收敛性的判定与极限的计算,也可能选用定义的方法更有效!
关于数列极限的定义,经常见到的有这里列出的几种等价描述形式:

其中第一个定义是标准的,教材中直接给出的定义形式,也称为数列极限的 定义。但是在探讨数列极限的相关问题中,如果看到其余的三种描述形式,一样可以直接得到极限存在的结论,一般不需要另外讨论与验证!值得注意的是,定义中的 大于 ,可以直接换成大于等于号。
利用数列极限的定义不仅可以验证数列极限的存在,也可以直接得到极限值;当然也可以判定数列极限的不存在性。利用数列极限的定义探讨问题通常使用的定义是定义 1,在推导过程中可能会出现其他等价描述形式。当然,根据问题的描述形式的不同,也可以直接考虑使用其余三种描述形式来描述极限的存在性与判定极限的存在性。
利用定义 1 来判定数列极限存在,和求数列极限值的一般步骤,可以概括为如下四步:

(1) 给定任意正数 ;
(2) 解数列通项 与一个常数 的差的绝对值小于 的不等式;
(3) 解不等式希望得到什么结果呢?就是定义中的当后面的表达式,也就是解不等式需要得到的是一个小 大于一个关于 的表达式。如果解不等式可以得到这样一个不等式结果,也就表明极限存在了,并且常数 就是 数列的极限值;如果不管怎样改写不等式,主要是放大绝对值不等式的方法,都解不出这样的表达式,则要么极限不存在;要么极限不等于 ,也就是常数 找得不对;或者定义法没法验证,需要寻求其他方法。
在使用定义探讨问题时也要注意:
第一: 虽然是任意的,但由于它是度量数列项与极限值之间的距离可以任意小,所以一般是可小不可大,同时也可以限定其取值范围,比如直接就取 ,或者小于 ,小于 等。
第二: 大 如果存在,一般是由给定的 确定的,它要是 的关系式,而且由于它是度量数列某一项后面所有的项,都应该满足绝对值不等式,所以一般是可大不可小,为了讨论的需要,一般可以限定其先就在大于某个范围内取值,比如首先就限定所讨论的 是大于 10 ,或者大于 100 的,等等,这个时候再取 的时候,通常就取为
第三: 任意的正数 一旦给定,就是一个固定的正常数; 同样,对于给定的 , 的一旦存在,则 可以取为任意大于 的数,但是相对于给定的 ,通过解不等式得到的 ,也可以认为它是固定的。比如经典的柯西数列极限命题的证明:
例 1: 证明相西数列极限合题: 算术平均值极限.
【参考证明】:由题设可知, ,当 时,恒有 ,且
其中 为一个确定的常数. 令
则对上面给定的 ,当 时,有
所以由数列极限的定义可知结论成立.
【注 1】这个柯西数列极限的命题结论,在没有需要特别证明的情况下,在说明名称和结论的情况下,可以直接用来解题.
由已知 知,对于任意取定的 ,取定 后,则 为常数,而 在大于 的范围内任意变化取值. 解决这个问题的关键:就是对于任意给定的 ,给定的就是定了的;也可以取定一个 ,取定以后也是固定的;然后针对这个固定的 ,对绝对值不等式分段讨论,将绝对值不等式拆分两部分来考查!这样,针对固定的 ,前一项的分子就是一个常数了, 这里将它记作了 !同时又要注意大于 的小 是变化的,它的取值是任意性。因此,完全可以在大于 的范围内,找到一个另外一个大 ,使得当小 大于这个大 时,第一项,也就是 会小于给定的 ,这样,只要取两个大 中的最大的作为最终的 ,则就完全可以满足最后的绝对值不等式成立。也就验证了极限的存在性和极限就等于给定常数值了。
【注 2】这个验证的过程,体现了变化中的相对固定,任意中的相对固定,一旦取定就为固定,取定中也包含任意的解题思想!
类似的有函数极限定义:

函数的极限比数列极限的自变量变化过程要复杂,可能的自变量变化过程共有六种,而数列就一个趋于正无穷大。使用极限定义证明函数极限的存在性,或者求极限值的思路与数列的极限基本一致,都是对于任意给定的正数 ,解绝对值不等式,解不等式的目标是定义中当后面的表达式结构,也就是每个定义中的蓝色文字。
比如,对于最后一个定义,如果通过改写、放大绝对值的方法解不等式,最终可以得到一个关于 的不等式结果,则说明极限存在,常数值 也就是极限值,并且就可以直接取 来复述定义描述完成验证、证明和得到极限值的过程。
另外,如果对于一个区间内任意的 ,对于同一个常数 ,对于任意的正数 ,都有 成立,则还可以得到函数在区间内恒为常数 的结论。
2、极限的四则运算法则

这里的极限运算法则是以函数形式给出的,如果将 换成 ,取 变化过程为趋于正无穷大,则结论为数列极限的四则运算法则。对于极限的四则运算法则,非常简单,但是要特别强调一点, 运算法则应用的前提条件: 参与运算的两个函数, 或者有限个函数极限要存在! 就是极限要为一个有限值! 并且在分式中,作为分母的函数,要在自变量的变化过程的某个邻域范围内不能为 0 ,当然极限值也不能等于 0 ,否则运算就设有意义!
这个一定要记得,极限运算法则可以先用,但是用了以后,对于拆分出来的每个极限式你要判断一下,极限是不是存在! 如果不存在,则说明应用过程是错吴的,不应该用!
四则运算法则既能判定极限的存在性,也能计算得到极限值,它是求极限首先应该考虑的方法。
3、单调有界定理
一个是针对数列的:数列单调有界定理:单调有界必有极限.
一个是针对函数的:函数的单侧单调有界原理:函数在一侧邻域内自变量变化过程中单调有界则必有极限.
定理设 为定义在 上的单调有界函数, 则右极限 存在.
函数的单侧单调有界原理同样适用于 . 但注意函数的单侧单调有界原理的自变量变化过程一般不可以改成 , 因为左、右极限不一定相等.
值得注意的是,单调有界原理只能判定极限的存在性,不能直接得到极限值!计算极限值还需要使用其它方法来计算。
数列的单调有界原理,最常用的题型是判定递推数列极限的存在性!当然,也可以判定一些通项已知、确定的数列,或者具有一定单调性的数列的极限的存在性,比如极限为自然常数 的重要极限
的极限的存在性,它不仅验证了这里的数列的单调、有界性,而且验证了它的验证过程中出现的阶乘的导数求和式数列
的单调、有界性!所以它也是收敛的,现在我们知道它的极限也是等于自然常数e的!
4、夹逼准则 (迫敛性准则、两边夹法)

以上的 可以是有限点 ,也可以是无穷大,变化过程是自变量的六种变化过程中的任意一种。当自变量 取为正整数且趋于正无穷大,也就是数列极限的夹逼准则。也就是说,这个准则既适用于数列的极限,也适用于函数的极限。即大的和小的都收敛于统一的极限值时,则夹在中间的也收敛,而且极限值相同。
值得注意的是不等式关系只要在某个邻域内成立就可以了!对于数列,也就只要当 大于某个 之后成立不等式关系就行了。对于数列而言,夹逼准则用得比较多的题型,是 项求和极限式,
例 2:求极限
这里举例,仅仅只是说,夹逼准则应用比较多的题型啊,不是说其他类型的数列极限就不考虑这个方法啊!对于例 2 这样的问题,通常的思路是:
先写出它的 求和结构,然后采取缩小分母中的求和变量,或者放大分母中的求和变量,来实现求和通项的放大、缩小处理,从而构建容易计算极限的两个求和项,比如这里把分母的 替换为 ,则实现缩小;把 替换为 0 ,则实现放大。
如果直接放大、缩小不成功,并且分子中还包含有求和变量,则进步一改写、结合放缩分子的方法,来构建容易计算极限的求和项,如果缩放以后左右端的和式的极限存在并且相等,则得到原极限式的极限;如果所有改写都不成功,也就是基于夹逼准则得不到需要的结果,则再考虑其他方法。这里的放缩是成功的,放缩以后的求和也就变成了对分子的 求和,分子求和也就得到
放缩后的分子分母分别为 ,比较分子、分母最高次数的系数,可得极限都是 ,所以由夹逼准则,不仅得到原极限存在的结论,而且直接得到了极限值就为 .
【提示】求和通项为 :
故由夹逼准则知原极限 .
对于这类求和式的极限的计算思路与方法,在 "全国大学生数学竞赛历届真题解析" 在线课程(:):第七届全国初赛非数学类真题解析课程的第一题,分为三个视频,详细探讨了几个常见的思路与方法,另外在第六届、第十二届真题解析课堂中,也借助于竞赛真题,分析、探讨了这类问题的一般求解思路与步骤。这类问题也是各类考察的重点,如果大家希望对相关方法、解题思想有一个更加深入的理解,更好的掌握这类问题的求解方法,可以查阅在线课程中的相关视频片段。
夹逼准则作为一种基础的极限存在性判定和极限计算的方法,它的思想在求极限中应用非常广泛,不过很多时候是与其他各种方法综合使用。
5、数列的柯西收敛准则

柯西收敛准则相对于数列极限的 语言的定义,最大的优势是定义中的 与极限值 的关系换成了 与 的关系,或者换成了 的关系,这样也就不需要借用数列的通项以外的数 ,也就是不需要另外找一个常数来判定极限的存在性了,而只需根据数列通项本身的特征就可鉴别它的敛散性了。
也就是说,证明极限存在,柯西收敛准则只要找到一个 即可,而利用定义,在证明 的存在性之前,还需要找到一个可能的极限值 。否则证明过程无法继续,而且 寻找还具有不确定性,也就是说找到的 还不一定是极限值,从而导致证明过程失败!
柯西收敛准则的几何意义是: 收敛数列的元素随着序数的增加,也就是数列通项下标 的增加,项与项之间越来越靠近,即足够靠后的任意两项都无限接近。利用柯西收敛准则即可以证明数列收敛,当然也可以证明数列发散。
例 3:判断下列数列的敛散性:
【分析】用柯西收敛准则判定数列的敛散性,用得比较多的是第二种形式。即对于任意给定的正数 ,如果能够找到一个正整数 ,当 时,不管正整数 取任何值,都能够使得 和 作为序数的两个数列项的差小于任意给定的 ,则数列收敛!如果对于给定的一个正数 ,对于任意的正整数 ,总存在一个正整数 ,使得 和 作为序数的对应的两项的差大于给定的 ,则数列发散。
【提示】(1)取任意的两个正整数 ,则
从这个结果可以看到,最终的两项的差只与 有关,而与 p 无关了,因此只要关于 的表达式小于 就行了。于是可知, ,取 , 当 时,对于任何的正整数 ,都有
由柯西收敛准则,数列 收敛。
这样,在不需要猜想极限值等于多少,也不需要最终计算极限值的情况下,借助于柯西收敛准则判定数列极限是存在的。
(2)同样 ,则
由此可见,当取 时,对任意 ,当 时,取 ,则不等式
不成立. 故由柯西收敛准则知数列 不收敛,即发散.
6、 Stolz 定理
斯托尔茨定理是非常实用的、数列极限存在性判定与计算方法,也称为数列极限的洛必达法则。它将数列的极限的存在性的判定与计算,转换为分子、分母数列通项的差的比值,构成的极限来讨论。特别对分子、分母为求和表达式类型的极限,利用 Stolz 定理有很大的优越性。

比如用 Stolz 定理证明数列的柯西命题:
【提示】: 令 ,则 单调增加趋于正无穷大,并且
所以由 stolz 定理知结论成立。
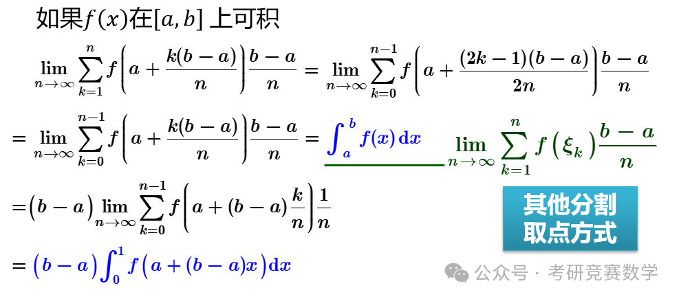
7、利用定积分的定义计算极限

当遇到 项求和的极限式求极限值时,如果它能写成一个函数 ,在均分区间 上每个子区间上的函数值,乘以子区间长度的结构,并函数 在区间 上可积的时候,就可以尝试考虑将其转换为定积分来计算极限值。其中函数值的取值,可以是每个子区间上任意一点的函数值,通常取值为端点的取值,比如子区间右端点的值(第一个)、左端点的值(第二排第一个),或者也可以取为区间中点的函数值(第一排第二个),当然也可以是其他方式取到的函数值(第三排第二个)。
在实际的做题中,对于这类具有和式结构的极限问题,或者可以改写为这类和式的极限问题,如果希望采用定积分方法来计算极限,首先需要做的工作是:先提出一个 ,然后再考虑将余下的求和表达式,看是不是可以写成每个子区间上函数值的表达式;最希望余下的表达式可以写出 的函数表达式,也就是说,如果余下的表达式中的 和 ,全部都能描述为 的结构 ,或者区间中点的表达式 ,而 , 不再以其他方式出现,则只要把 换成 ,就可以得到区间 上的定积分来计算极限值
当然,只要 取值在每个子区间上,也一样可以直接转换为定积分来计算. 不过值得注意的是,有时候这样的结构不一定可以直接得到,可能还需要经过适当的放缩,基于夹逼准则才能得到需要的结果。当然,如果这个方法失败,就需要寻找其他方法,比如最直接的夹逼准则方法。
例 4:求极限
【提示】:将极限表达式改写成求和符号描述,得
其中 正好为子区间 的中点值,所以由定积分和式极限定义,
原 式
例5:求极限
【提示】:因为
其中
所以由夹逼准则,原式 。
另外,如果遇到连乘或者幂指结构的极限式,还可以通过取对数,或者转换为指数描述形式,改写为求和结构来处理。
例6: 求极限
【提示】: 原式
8、级数收敛的必要条件
如果级数收敛,则级数的通项构成的数列项趋于 0 。基于这个性质,对于某些数列的极限存在性的判定和极限值的计算,就可以将其视为某一个级数的通项,然后利用级数收敛性的判定方法,在成功判定级数收敛的情况下,就可以得到数列收敛的结论,并且可以直接得到数列的极限就等于 0 。

9、收敛级数余项的基本性质
可以通过判定级数收敛的方法,来判断通项为级数的余项 的数列的收敛性,并且可以得到极限为 0 的结论。
例7:判定如下数列的敛散性,如果极限存在则求极限:
【提示】(1)取级数为 ,该级数为正项级数,考虑根值法,可得
级数收敛,所以通项为 0 ,即第一个数列不仅收敛,而且极限值就等于 0 .
(2)取级数为 ,级数显然是收敛的。所以它的余项为
由于级数收敛,余项当 趋于 0 ,所以由夹逼准则,得原数列不仅收敛而且极限值为 0 .
10、利用级数收敛性判断极限存在
对于某些数列的问题可以转换为级数的问题来讨论,比如教材中我们经常遇到的一个结论:
命题:数列 收敛的充要条件是级数 收敛。
正因为级数与数列的性质之间有了某些内在的密切联系,因此数列极限的存在性及极限值问题,可转化为研究级数收敛性问题.
例 8: 已知 ,
证明 存在.
【提示】: 因为 ,所以
从而 收敛,所以 收敛,又因
所以 存在.
例9:证明: 存在.
【提示】: 设 ,则
由拉格朗日中值定理,可得
代入上式,得
因为 收敛,由比较判别法知: 也收敛,所以 存在,即原数列收敛.
11、利用级数求和求数列极限
由于级数的和本身就为部分和数列的极限,所以遇到具有级数部分和结构的数列的极限的计算,也就可以考虑利用级数求和的方法来求极限。
例10求极限
1). ">
【提示】: 该极限实际上就是求常值级数 的和. 根据常值级数求和通常的方法,令 ,则 ,考虑幂级数的和函数
由于幂级数的收敛区间为 ,所以得
12、压缩映射原理
利用压缩映射原理来判定数列极限的存在性并求数列的极限。
定义:如果 ,存在一个常数 ,使得
则称 在 上的一个压缩映射(函数).
判定: 如果 ,则 是 上的压缩映射.
压缩映射原理:
(1)如果 是 上的一个压缩映射,数列 满足:
则数列 为压缩数列,且数列 收敛于 在 上存在唯一的不动点 ,即 。
(2)对于数列 ,若存在常数 ,使得对 ,都有
则称数列 是压缩数列,且 收敛。
压缩映射原理在求一些数列极限中有着十分重要的作用,往往可以使数列极限问题得到简便快速的解决.
例11: 设 ,
证明 极限存在,并求 .
【提示】: 令 ,则
因此, 在 上是压缩的;又 ,故由压缩映射原理,数列 收敛且极限为方程
的解,由极限的保号性,解得
例12: 设 ,证明 极限存在,并求 .
【提示】: 由递推式知 且 ,所以
故数列压缩数列,故收敛. 对递猚式两端取极限,由极限的保号性,解得
对于例题12,在得到数列为压缩数列的情况下,也可以基于前面讨论的基于判定级数的收敛性来判定数列收敛。
以上提到的第5种到第12种方法讨论的都是数列的极限的计算!其中前面的1-4种方法则即有数列的,也有适用于函数的。 有关于数列极限计算更多的典型问题及详细的求解思路与方法可以参考)或中专题练习。
以上就是今天要探讨的内容,主要是数列极限的计算思路与方法,下一讲中咱们继续讨论极限问题的求解与验证.
感谢学友们的阅读、关注与支持,咱们下期见!
扫描二维码分享到微信或朋友圈